Atrito
Muita gente imagina que atrito é uma coisa ruim, que a força de atrito é uma força nefasta que deve ser sempre evitada.
A força de atrito não só está presente em nosso dia-a-dia como é de relevante importância para nós.
É através da força de atrito que nós podemos andar: com os pés, empurramos o solo para trás e, pela lei da ação e reação, recebemos uma força de atrito dirigida para frente que vai nos acelerar.
Quando as rodas motrizes de um carro (rodas que têm tração) giram, elas empurram o chão para trás e pela lei da ação e reação recebem uma força de atrito para frente que é responsável pela aceleração do carro.
Quando um carro faz uma curva no plano horizontal, é a força de atrito aplicada pelo chão que vai lhe proporcionar a aceleração centrípeta capaz de alterar a direção de sua velocidade.
Portanto, o atrito é indispensável para o nosso bem-estar.
1. Conceito
Considere dois sólidos, S1 e S2, em contato, e seja A uma região plana na área de contato entre eles.
Seja a resultante das forças de contato que S1 exerce em S2 ao longo da região A.
Se na região A não houver atrito entre S1 e S2, a força será perpendicular a esta região.
Se na região A houver atrito entre S1 e S2, a força poderá ter duas componentes:
N = componente normal da região de contato;
at = componente de atrito, tangencial à região de contato.
Portanto, conceituamos atrito como sendo um estado de aspereza ou rugosidade entre sólidos em contato, que permite o desenvolvimento de forças tangenciais à região de contato entre eles.
Hipótese atômica
A origem do atrito é atribuída à ligação de alguns átomos da periferia dos dois corpos em contato, levando a uma “soldagem" instantânea entre os dois corpos. Vencer a força de atrito é arrebentar essas ligações.
É fundamental salientar que existir atrito entre dois corpos é um estado potencial de permitir a possibilidade de troca de forças em direção tangencial à região de contato, porém o efetivo aparecimento das forças de atrito só ocorrerá quando houver movimento relativo entre os corpos ou pelo menos uma tendência de movimento relativo entre eles, provocado pela presença de forças externas.
O sentido da força de atrito entre dois corpos é sempre de modo a se opor ao deslizamento dos corpos em contato, isto é, sempre contrário ao movimento relativo ou à tendência de movimento relativo entre os corpos.
Observe ainda que, de acordo com a 3ª Lei de Newton (ação e reação), existe uma força de atrito aplicada em S1 e outra oposta aplicada em S2.
at = força de atrito que o apoio aplica no bloco.
= força de atrito que o bloco aplica no apoio.
2. Atrito estático
Enquanto não houver movimento relativo entre os corpos em contato, o atrito é dito estático.
Embora solicitado pela força motriz , o bloco continua em repouso; o atrito é estático.
Sendo a força motriz tangencial que solicita o corpo ao movimento e at a força de atrito que resiste à tendência de movimento para que o corpo não deslize, isto é, permaneça em equilíbrio estático, devemos ter:
Força de atrito de destaque
À medida que aumentamos a intensidade da força motriz , a força de atrito deve aumentar de modo a impedir o movimento.
Porém, a força de atrito não pode aumentar indefinidamente; existe um limite, um valor máximo, que não pode ser superado e que é denominado força de atrito de destaque.
Portanto, enquanto o atrito permanecer estático, a força de atrito tem a mesma intensidade da força motriz e pode variar desde zero (quando não há solicitação ao movimento) até o valor máximo, chamado força de atrito de destaque.
A força de atrito de destaque (Fdestaque) tem valor proporcional à intensidade da força normal de compressão entre os corpos em contato (FN).
µe = constante de proporcionalidade, denominada coeficiente de atrito estático.
Força normal de compressão
A força normal de compressão N é a força que aperta um corpo contra o outro. Em cada problema estudado, precisamos pesquisar qual a força que faz o papel de força normal.
Para um bloco sobre um plano horizontal, sujeito à ação de uma força motriz horizontal, a força normal N tem intensidade igual à do peso do corpo.
Se a força aplicada for inclinada de q em relação à horizontal, ela admite uma componente vertical de intensidade F = F sen q que é somada vetorialmente com o peso do bloco para fornecer a força N.
Para um bloco sobre um plano inclinado de a, em relação à horizontal, a força normal N tem intensidade igual à da componente normal do peso:
Para um bloco pressionado contra uma parede vertical por uma força horizontal , a força normal tem intensidade igual à da força e a força motriz terá valor igual ao do peso do bloco.
Coeficiente de atrito
A constante de proporcionalidade (me) é adimensional (não tem unidades) e é denominada coeficiente de atrito estático entre os corpos.
Teoricamente, o coeficiente de atrito pode assumir qualquer valor, porém, na prática, em geral ele é menor do que 1 e depende da natureza dos corpos que estão atritando (borracha – asfalto; borracha – paralelepípedo; madeira – madeira etc.) e do estado de polimento ou lubrificação entre os corpos (chão encerado, asfalto molhado etc.).
Cumpre ressaltar que o coeficiente de atrito não depende da área de contato entre os corpos.
A título de exemplo, o coeficiente de atrito entre o pneu de um carro e um chão de asfalto, em um dia seco, é da ordem de 0,60.
Atrito dinâmico
Quando a intensidade da força motriz (F) superar a intensidade da força de atrito de destaque (Fdestaque), haverá movimento relativo entre os corpos e o atrito entre eles será dito dinâmico.
Quando o movimento relativo se inicia, o valor do coeficiente de atrito, em geral, diminui e passa a ser chamado de coeficiente de atrito dinâmico ou cinético (µd).
Supondo superfícies de contato homogêneas, o coeficiente de atrito dinâmico será constante e a intensidade da força de atrito dinâmica (Fdinâmica) não dependerá da velocidade relativa entre os corpos. Ela será dada por:
FN = intensidade da força normal de compressão entre os corpos em contato.
Por simplicidade de raciocínio e de cálculo, muitas vezes assumimos, teoricamente, os coeficientes de atrito estático e dinâmico como iguais (µd = µe), o que significa assumir a força de atrito dinâmica com a mesma intensidade da força de atrito de destaque.
Na prática:
Exercícios propostos
1. Um objeto de peso 20,0N está em repouso em um plano horizontal quando recebe a ação de uma força motriz de intensidade F.
Os coeficientes de atrito estático e dinâmico entre o objeto e o plano horizontal valem, respectivamente, 0,60 e 0,50. Adote g = 10,0m/s2.
a) Calcule as intensidades da força de atrito de destaque e da força de atrito dinâmica.
b) Preencha a tabela a seguir com os valores da intensidade da força de atrito que o bloco recebe do plano horizontal e do módulo da aceleração adquirida pelo bloco.
2. (VUNESP-UNVG-MODELO ENEM) – Numa experiência ortopédica, dois corpos de prova ósseos são friccionados entre si, sendo que um é mantido fixo por um suporte, enquanto o outro é empurrado por uma força constante, paralela à superfície de contato entre as amostras, cujos perfis são mostrados na figura.
O gráfico mostra a relação entre as intensidades da força de atrito at e de , medidas em newtons:
Sendo a massa da amostra móvel 400 gramas e a aceleração da gravidade com módulo igual a 10,0m/s2, os coeficientes de atrito estático e cinético entre as duas amostras são, respectivamente,
a) 1,450 e 1,150.
b) 1,625 e 1,250.
c) 1,400 e 1,150.
d) 1,500 e 1,250.
e) 1,450 e 1,200.
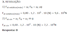
3. (UNICAMP-MODELO ENEM) – Acidentes de trânsito causam milhares de mortes todos os anos nas estradas do País. Pneus desgastados (“carecas"), freios em péssimas condições e excesso de velocidade são fatores que contribuem para elevar o número de acidentes de trânsito. O sistema de freios ABS (do alemão “Antiblockier-Bremssystem") impede o travamento das rodas do veículo, de forma que elas não deslizem no chão, o que leva a um menor desgaste do pneu. Não havendo deslizamento, a distância percorrida pelo veículo até a parada completa é reduzida, pois a força de atrito aplicada pelo chão nas rodas é estática, e seu valor máximo é sempre maior que a força de atrito cinético. O coeficiente de atrito estático entre os pneus e a pista é me = 0,80 e o cinético vale mc = 0,60. Sendo g = 10m/s2 e a massa do carro m = 1,2 . 103kg , o módulo da força de atrito estático máxima e a da força de atrito cinético são, respectivamente, iguais a
a) 1,2 . 103N e 1,2 . 104N.
b) 1,2 . 104N e 1,2 . 102N.
c) 2,0 . 104N e 1,5 . 104N.
d) 9,6 . 103N e 7,2 . 103N.
e) 9,6 . 103N e 6,0 . 103N.
Nota: Admita que o carro se desloque em um plano horizontal.
4. (ENEM) – Uma pessoa necessita da força de atrito em seus pés para se deslocar sobre uma superfície. Logo, uma pessoa que sobe uma rampa em linha reta com movimento acelerado será auxiliada pela força de atrito exercida pelo chão em seus pés.
Em relação ao movimento dessa pessoa, quais são a direção
e o sentido da força de atrito mencionada no texto?
a) Perpendicular ao plano e no mesmo sentido do movimento.
b) Paralela ao plano e no sentido contrário ao movimento.
c) Paralela ao plano e no mesmo sentido do movimento.
d) Horizontal e no mesmo sentido do movimento.
e) Vertical e sentido para cima.
Gabarito
4. RESOLUÇÃO:
Quando uma pessoa está andando, ela interage com o solo por meio de uma força de atrito, de acordo com a 3.a Lei de Newton. A pessoa aplica no solo uma força de atrito para trás e recebe do solo uma força de atrito para frente no sentido de seu movimento, de acordo com a lei da ação e reação. A direção da força de atrito é tangente à região de contato entre os pés e o chão e, portanto, numa direção paralela ao plano de apoio.
Resposta: C








Postar um comentário